Oleh: M. Shoim Haris, Peserta Program Doktor UNTAG Surabaya
Kita terbiasa memperlakukan realitas sebagai sesuatu yang diberikan—sebuah panggung statis, sebuah latar yang tetap, di mana kehidupan berlangsung. Fisika mengajarkan kita tentang partikel, gaya, dan hukum-hukum yang tidak berubah. Biologi berbicara tentang sel, evolusi, dan adaptasi. Ekonomi merumuskan insentif, pasar, dan keseimbangan. Ilmu politik memetakan kekuasaan, institusi, dan konflik. Setiap disiplin memotong realitas menurut garisnya sendiri, lalu kita bertanya-tanya mengapa potongan-potongan itu tidak pernah kembali menyatu.
Ada sebuah pertanyaan tua yang terus menghantui: mengapa masyarakat yang makmur secara material dan berpengetahuan luas tetap rentan terhadap krisis, konflik, dan kehampaan makna? Mengapa individu yang cerdas dan bekerja keras sering tidak kunjung keluar dari kebuntuan? Mengapa negara dengan sumber daya alam melimpah justru tenggelam dalam pusaran korupsi dan kemiskinan? Bukan karena kurangnya data atau kemauan. Bukan karena kebodohan kolektif. Jawabannya, menurut Teori Realitas Terintegrasi (Integrated Reality Theory – IRT), adalah bahwa kita telah kehilangan kemampuan untuk melihat realitas sebagai sesuatu yang bernapas—sebuah gerakan berkelanjutan, sebuah proses yang mengalir, di mana energi, informasi, hambatan, kesadaran, dan pembelajaran saling terkait dalam tarian yang tak terpisahkan.
Inti Teori: Bukan Sekadar Rumus
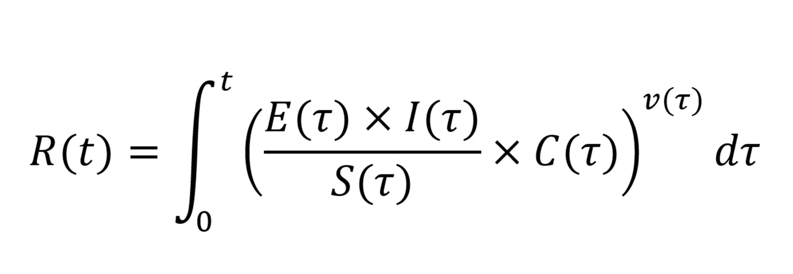
Di balik uraian ini, ada sebuah inti yang dirumuskan secara matematis. Rumus itu hanyalah sebuah cara untuk mengatakan sesuatu yang sebenarnya sangat manusiawi:

Mari kita bedaki perlahan, bukan sebagai mantra, tetapi sebagai narasi.
– R adalah hasil realitas: stabilitas, kesejahteraan, kemajuan—apa pun yang kita pedulikan pada suatu waktu.
– E adalah energi: kapasitas material, sumber daya, kesehatan, uang, infrastruktur.
– I adalah informasi: struktur, pengetahuan, aturan, hukum, strategi—apa pun yang memberi bentuk pada energi.
– S adalah entropi: hambatan, kekacauan, kebocoran—utang, korupsi, birokrasi berbelit, trauma, lingkungan yang toksik.
– C adalah kesadaran: kemampuan untuk memantau diri, memilih arah, dan mengintervensi lintasan.
– v adalah evolusi: kecepatan belajar, adaptasi, dan pembaruan diri.
Mengapa bentuk perkalian dan pembagian? Mengapa tidak penjumlahan? Karena energi tanpa informasi hanya gerakan acak; informasi tanpa energi hanya impian. Dan entropi bukan sekadar pengurang—ia adalah pembagi. Satu titik korupsi dapat membatalkan sepuluh titik investasi. Sebuah utang kecil yang tidak dilunasi bisa menghambat seluruh langkah maju. Inilah logika yang keras tetapi jujur.
Adapun pangkat v dan tanda integral adalah pengingat bahwa realitas tidak linear dan tidak melupakan. Jika suatu sistem belajar cepat (v > 1), setiap perbaikan kecil akan berlipat ganda. Jika ia mandek (v < 1), energi sebanyak apa pun akan tergerus oleh diminishing returns. Dan integral di awal persamaan itu mengingatkan: masa lalu tidak bisa dihapus. Setiap keputusan yang pernah kita buat terakumulasi seperti lapisan sedimen, membentuk daratan di mana kita sekarang berdiri.
Membaca Realitas dengan Kacamata IRT
Ambil contoh tiga negara: Indonesia, Vietnam, dan Brasil. Dengan mata telanjang, sulit membedakan nasib mereka hanya dari PDB per kapita. Namun dengan lensa IRT, pola menjadi jelas.
Indonesia memiliki energi yang besar: sumber daya alam, populasi muda, posisi strategis. Namun informasinya masih kacau: hukum yang tumpang tindih, birokrasi berbelit, penegakan hukum yang tidak konsisten. Akibatnya, entropinya tinggi: korupsi sistemik, polarisasi yang menguras energi, biaya transaksi yang membebani rakyat kecil. Kesadaran kolektif terfragmentasi: tidak ada visi bersama yang membakar semangat. Evolusinya lambat: kita mengulang kesalahan yang sama, dari reformasi yang setengah hati hingga program pembangunan yang mandek di tengah jalan.
Vietnam, dengan energi awal yang lebih rendah, memilih jalan yang berbeda. Ia berani menekan entropi: menyederhanakan birokrasi, memberantas korupsi secara sistemik, membuka diri pada perdagangan global. Informasinya dibangun ulang: hukum yang lebih jelas, pendidikan yang merata, investasi dalam inovasi. Kesadarannya terjaga: para pemimpin tahu ke mana arah yang harus dituju, dan rakyat ikut bergerak. Ia belajar cepat—dari kegagalan perang, dari kesuksesan tetangga, dari perubahan global. Hasilnya, Vietnam melompat. Indonesia berjalan di tempat.
Brasil? Energinya sedikit lebih besar, tetapi entropinya jauh lebih tinggi—ketimpangan yang menganga, polarisasi yang melumpuhkan, utang yang membebani. IRT memperingatkan: tanpa intervensi pada S dan I, energi yang besar hanya akan memperbesar kebocoran.
Kesadaran Bukanlah Kata Ajaib
Salah satu klaim paling berani teori ini adalah bahwa kesadaran (C) bukan epifenomena. Ia bukan gelembung yang muncul dari aktivitas saraf tanpa daya ubah. Kesadaran adalah kemampuan suatu sistem untuk menatap dirinya sendiri, untuk membaca kelemahannya sendiri, untuk memilih di antara kemungkinan-kemungkinan, dan untuk mengintervensi jalur yang tadinya tampak ditentukan. Dalam rumus, C adalah pengali. Ia tidak menciptakan energi dari ketiadaan, tetapi ia menentukan ke mana arah energi yang ada akan mengalir. Tanpa C, sistem akan tunduk pada gradien resistensi terkecil—yang biasanya adalah entropi.
Dengan kata lain: tanggung jawab bukanlah konsep moral belaka. Ia adalah imperatif termodinamik. Tidak sadar berarti membiarkan kekacauan menang. Dan berhenti belajar berarti bunuh diri perlahan.
Untuk yang Merasa Hidup Berputar-putar
Teori ini bukan hanya untuk negara dan peradaban. Ia untuk setiap kita. Pernahkah Anda merasa sudah berusaha keras—menambah penghasilan, mengikuti pelatihan, membaca buku motivasi—tetapi hidup masih terasa seperti roda hamster? IRT membisikkan prioritas yang mungkin terbalik dari intuisi Anda.
Jangan dulu mengejar uang (E). Jangan dulu membanjiri diri dengan kursus (I). Langkah pertama adalah menurunkan entropi. Selesaikan utang. Bersihkan meja dan kamar. Lepaskan hubungan yang toksik. Maafkan masa lalu. Selesaikan urusan yang menggantung. Karena selama S masih tinggi, segala energi dan informasi yang Anda masukkan hanya akan tersedot ke dalam lubang hitam.
Setelah S rendah, bangun informasi: buat strategi, belajar secara terstruktur, cari mentor. Lalu aktifkan kesadaran: tulis visi, praktikkan refleksi harian, buat komitmen publik. Percepat evolusi: evaluasi setiap minggu, minta kritik, coba cara baru. Maka, ketika akhirnya Anda mengejar energi, setiap langkah akan terasa ringan.
Sebuah Peta, Bukan Wilayah
Teori ini tidak mengklaim kebenaran final. Ia mengakui dengan jujur bahwa kesadaran masih sulit diukur, bahwa evolusi baru didekati dengan proksi kasar, bahwa analogi dengan termodinamika dapat diperdebatkan. Ia bahkan merumuskan kriteria kegagalan: jika data menunjukkan bahwa variabel efisiensi sistem tidak signifikan, atau arah hubungannya terbalik, maka IRT harus direvisi atau ditinggalkan.
Kejujuran inilah yang membedakan teori ilmiah dari dogma. Karena realitas, sebagaimana diajarkan IRT, tidak akan menunggu. Ia terus mengalir, terus menjadi, terus mengintegrasikan setiap keputusan kecil yang kita buat hari ini ke dalam arus besar sejarah.
Sebuah Pinjaman dari Masa Depan
Tulisan ini ditutup dengan sebuah pepatah dari penduduk asli Amerika: “Kita tidak mewarisi bumi dari leluhur kita; kita meminjamnya dari anak cucu kita.” Demikian pula dengan kebenaran. Teori Realitas Terintegrasi bukanlah warisan yang harus dijaga dengan cemburu. Ia adalah pinjaman dari generasi mendatang—sebuah hipotesis yang kita bawa ke meja pengujian, dengan harapan bahwa setelah diuji, ia akan menjadi sedikit lebih berguna daripada ketika kita menerimanya.
Dan jika kelak ia terbukti salah, biarlah kerangkanya menjadi kayu bakar untuk api pengetahuan yang lebih hangat. Karena satu-satunya dosa dalam ilmu pengetahuan bukanlah kesalahan, melainkan keengganan untuk terus belajar. Atau, dalam bahasa IRT: membiarkan v mendekati nol.
























